
$腾盛博药-B(02137)$ $广生堂(SZ300436)$
这届AASLD的乙肝功能性治愈新药研发呈现出明显的退潮,国外药企大面积退出乙肝研发,中国力量正在成为乙肝疗法的核心力量,尽管美国在前沿技术仍处于领先状态,但国内企业正在迅速崛起,并有取代的趋势。当然,另外一层原因在于,GSK的三期临床数据未读出,其他国外企业对临床试验的治愈率要求很高,只要未达预期就会放弃推进管线。
按传统风格,我还是会长篇大论写出重要公司的研发进展,再分析其竞争优势,最终理性的同时用点感性的文字写下结论。
一、乙肝新药的技术路径及局限
HBV是人类最难清除的病毒之一,病毒入侵肝细胞形成cccDNA,并有部分DNA整合到人类基因组。乙肝病毒通过一系列机制抑制免疫因子分泌,衰竭免疫细胞,实现免疫耐受。借用下Precision BioSciences的图,我们可以看出各家公司的技术路径,包括图上方的核苷类似物、衣壳组装调节剂,下方的siRNA、ASO等。目前主流的研发路线都没有直接作用于cccDNA,导致病毒难以清除,可谓“治标不治本”。

这导致两大问题:一是,功能性治愈率太低,二是复阳率高,治愈的病人停药后抗原迅速反弹。归根到底,就是cccDNA无法清除,而停药时转阴的病人大部分没有被重新激活免疫系统。要实现乙肝功能性治愈两大条件:HBV DNA、表面抗原检测不到,绝非易事。

二、中国力量闪耀AASLD
尽管提高乙肝功能性治愈率较为艰难,中国药企正在贡献自己的力量。随着浩博医药AHB-137的神药关环褪去,星耀坤泽HT-101、HT-102正在登顶神药巅峰,在小三阳试验中获得超好数据。腾盛博药的ensure临床试验发布在《Natrue·Medicine》,放出更多详细数据,具备best-in-class的潜力,我会单独分析腾盛博药的数据。
GST-HG131(广生堂,表面抗原抑制剂):这次发布的数据是之前二期临床的老数据,经12周治疗,平均抗原下降幅度为0.89 log10 IU/mL,平均75%实现抗原水平低于100 IU/mL。
AHB-137(浩博医药,ASO):2b临床纳入小三阳的患者,治疗数据显示,治疗结束时,300mg组给药24周实现75%转阴率,给药16周实现66%转阴率。停药24周(下图),给药24周组实现31%,给药16周实现16%。

HT-101、HT-102(星耀坤泽,siRNA、中和抗体):二期临床纳入小三阳的患者,目前临床还在进行中,给药到12周的数据显示, C组实现50%转阴率,D、E组都实现70%转阴率。在C至E组的28名患者中,抗原基线< 1,000 IU/mL的患者实现13/14 (92.8%) 转阴,抗原基线≥1,000 IU/mL的患者实现5/14 (35.7%)转阴。

PBGENE HBV(Precision BioSciences,基因编辑):最早进入临床的乙肝基因编辑药物,此次公布的一期数据为老数据,更大剂量的数据并没公布。小剂量的试验组效果一般,但已呈现一定的效果,仍需要持续观察大剂量的试验结果。
三、重要药物的商业前景
国内多个企业布局乙肝管线,技术路线各有不同,最具潜力的企业已逐步浮出水面。我逐一分析各家公司的潜力:
广生堂:多年以来,国外多个企业已经在表面抗原抑制剂折戟,广生堂正在步入后尘。GST-HG131二期临床试验无一个患者实现抗原转阴,抗原下降水平远不及siRNA、ASO药物,GST-HG131实际上已经失败,管理层很可能等到融资完成后逐步摘除管线。广生堂很早宣布申请GST-HG131+GST-HG141二期临床,却迟迟未启动病人招募,估计管理层也深知GST-HG131无望,已经专心推进GST-HG141三期临床。
然而,GST-HG141只能抑制HBV DNA,无法实现抗原转阴,仅能控制病情,需终生服药。同样需要终生服药的核苷类似物每月售价已低到10元,且挚盟医药的竞品也进入三期,药物很难高定价,这导致GST-HG141商业价值较小。某些广生堂的投资者抱有太高的期望值,原因在于,将控制病情药物的商业价值等同于治愈病情药物的商业价值。
浩博医药:AHB-137去年公布停药数据,效果好到爆炸,停药半年后治愈率已经从75%下降到31%,神药光环褪去。由于ASO药物无调节免疫系统的作用,复阳率极高,随着时间的推移,将会更多病人复阳。
考虑到这是筛选的小三阳患者的临床试验,这个治愈率算中规中矩,不经筛选的单药治愈率很可能与GSK接近,治愈率9%左右。浩博医药也深知ASO药物的局限,在推进单药进入三期的同时,已经新开AHB-137+干扰素的临床试验,并着手开发治疗性疫苗,走向像腾盛博药一样的药物组合。再一次验证,目前所有疗法无可避免要走向联合治疗。
星耀坤泽:同样是纳入小三阳患者,星耀坤泽的12周疗效已经比浩博医药24周还要优秀,步入神药区间。中和抗体和siRNA对免疫系统调节有限,最终很可能也会步入浩博医药后尘,在停药后出现大幅度反弹。HT-101+HT-102组合是与vir公司的vir-2218+vir-3434相同的组合,vir公司因vir-2218+vir-3434+干扰素仅实现20%左右的治愈率,已经放弃推进三期。
一般而言,相同机制的药物治愈率不会差异太大,星耀坤泽HT-101+HT-102组合的停药时转阴率大致在15%左右。尽管星耀坤泽通过筛选小三阳的方式,显示出超高的转阴率。随着停药时间延长、样本的扩大,转阴率会大幅下降。
Precision BioSciences:基因编辑药物作为人类第一种直接靶向cccDNA的药物,有取代siRNA、ASO成为乙肝疗法基石的潜力。十年后的疗法很有可能是通过基因编辑清除cccDNA,用干扰素或治疗性疫苗清除残余的乙肝整合DNA,试验仍在早期,具体疗效还需持续观察。
四、低治愈率的商业选择
目前已完成的不筛选病人的联合疗法(siRNA/ASO+干扰素)试验中,停药后半年的治愈率在15-30%之间,尽管已经比干扰素3-8%的治愈率显著提升,其治愈率仍然太低,而目前的技术对于治愈率的提升有限。
乙肝病毒是一种慢性疾病,患者有一定比例出现病情恶化,大部分患者终生与普通人无异,未出现病情恶化。如果你告诉一个病人只有20%的概率被治愈,这个病人会花几万块钱去治疗的意愿不强烈,这就会极大限制乙肝药物的商业价值。
解决这个问题的关键在于如何精准找到这些病人,解决方法出现两种路径,第一种是浩博医药和星耀坤泽选择的道路,筛选小三阳的患者做实验,由于小三阳比大三阳更好治愈,筛选小三阳患者呈现出更好的治疗效果。缺点在于排除大三阳,相当于放弃大半市场。这种方式在扩大样本之后,治愈率也会下降,我估计最终的解决方式是进一步筛选抗原病人小于1000 IU/ml的病人,用药组合增加干扰素降低复阳率。
第二种是腾盛博药选择的道路,筛选免疫未受损的患者做实验,其临床数据显示有免疫反应更容易被治愈,BRII-179(治疗性疫苗)具备找出免疫未受损的患者的潜力,这种筛选的方式包含大三阳的患者,受益群体会比浩博医药、星耀坤泽筛选范围稍大。难度在于BRII-179必须具备筛选的能力,这个仍需要更多数据验证。
五、腾盛博药的ensure临床
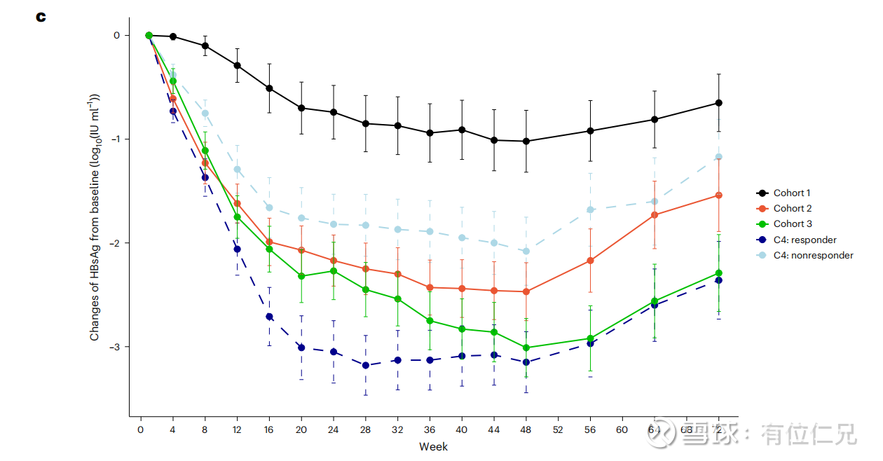
ensure临床分为2部分,第一部分为队列1-3,用药为干扰素、BRII-835(siRNA)+干扰素。第二部分为队列4,曾经接受BRII-835-179-001试验的患者,重新招募进入队列4,用药为BRII-835+干扰素,相当于BRII-835+BRII-179用药48周,停药间隔一年后,再序贯BRII-835+干扰素。
ensure队列2-3的治愈率比vir公司在2022年做的试验要高,停药复阳率远低于vir公司,原因在于腾盛博药纳入试验组的患者基线更低,且小三阳的比例更高。队列4停药时,高免疫反应组的转阴率为57.9%,停药后半年的转阴率为42.1%,近7成的人保持转阴,这一水平稍低于预期,但与2023年的数据接近。


通过与队列1-3横向比较,队列4的高免疫反应组的抗原反弹幅度更低,停药后抗体水平更高。在对比高免疫反应组与低免疫反应组的抗原下降曲线,可以看到两者巨大的差异。加入BRII-179(治疗性疫苗)确实带来更多临床收益,也证明BRII-179有筛选病人的潜力。




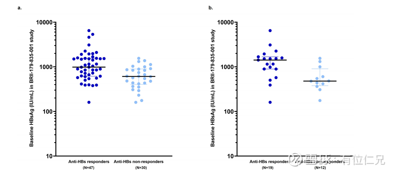
更为可喜的是,在高免疫反应组停药后半年后仍保持转阴的8名患者中,50%患者在进入BRII-835-179-001试验的抗原基线高于1500 IU/ml,意味着只要患者能产生免疫反应,高基线也存在被治愈的可能。反观队列1-3,抗原基线高于1500 IU/ml的患者全部无法被治愈,这再度验证调节免疫系统是乙肝功能性治愈的关键。

在队列4患者抗原下降曲线中,在高免疫反应组无法被治愈的患者中,其下降趋势和低免疫反应组的大部分患者一样,无论怎么用药,反应都不明显。而能被治愈的患者呈现快速下降的趋势,高免疫反应组的8名患者(下图红线)在24周已有7/8(87.5%)被治愈,低免疫反应组的趋势也是如此。这得出一个惊人的结论:能被治愈的患者会在很短时间就被治愈,而不能被治愈的患者即使给予很长的治疗时间也很难被治愈。

这促使腾盛博药管理层在enhance临床加开一个队列,首先BRII-835+BRII-179用药24周,再序贯BRII-835+BRII-179+干扰素24周,新开的队列弥补了队列4患者在BRII-835-179-001试验后的时间差。但队列4是BRII-835+BRII-179用药48周,且小三阳的比例非常高,尚不清楚enhance临床能否保持与队列4如此高的疗效。如果这个试验能成功,将会极大释放其商业价值,因为干扰素的副作用大,且需要每周注射,患者往往难以坚持48周的治疗周期,能将干扰素用药周期缩短到24周,不仅能降低治疗费用,更能让患者顺利完成治疗周期,将会极大增加药物的市场渗透率。
综合以上分析,治疗性疫苗呈现两大价值,其一是能加快下降抗原的速度,缩短用药周期,其二是降低复阳率,抗原反弹比例更低,反弹幅度更弱。腾盛博药在enrich临床和enhance临床探索最佳用药方案,enrich临床是先注射3-5针BRII-179,再序贯BRII-835+干扰素48周,这个试验最重要的是验证BRII-179是否有筛选病人的能力。
enhance临床是分为3部分,第一部分为BRII-835+BRII-179+干扰素48周,第二部分为BRII-835+BRII-179用药24周,再序贯BRII-835+BRII-179+干扰素24周,第三部分为设置干扰素48周作为对照组。
究竟哪种方案更有疗效,我们期待明年的亚肝会和美肝会读出详细数据。由于BRII-179的加持,腾盛博药的三联疗法具备best-in-class的潜力。
六、逐渐清晰的商业路线
随着大量临床数据的读出,乙肝功能性治愈新疗法的商业路线已逐渐清晰。我认为,广生堂、挚盟医药的HBV DNA抑制剂联合核苷类似物用药,能快速降低HBV DNA水平,控制病毒的复制,获得小部分市场。主流的商业市场将会由浩博医药、星耀坤泽、GSK等公司分食,未来五年siRNA/ASO+干扰素/治疗性疫苗取代干扰素成为新的标准疗法。
由于技术水平限制,以siRNA/ASO+干扰素/治疗性疫苗为首的新疗法,最终的治愈率很可能定格在20-30%左右。对于浩博医药、星耀坤泽、腾盛博药等公司而言,还需要找到方法精准治疗这部分患者,扩大商业价值。即使只有30%的患者,这个人数也接近2千万,市场接近万亿级别。
七、技术与商业
基因编辑药物已在悄悄进军乙肝领域,未来很有可能将治愈率提升到50%以上,一旦成功,siRNA/ASO药物的价值荡然无存。
技术的前进带来生产力的提升,创造社会价值,也为某些企业构筑技术壁垒,形成商业护城河。技术在前进的过程中却又在无形之中摧毁商业价值,由技术创造的商业护城河最后又会被新技术消灭。没有任何一个企业能永远能站在技术前沿,或许,商业模式比技术壁垒更重要。
是为结语。