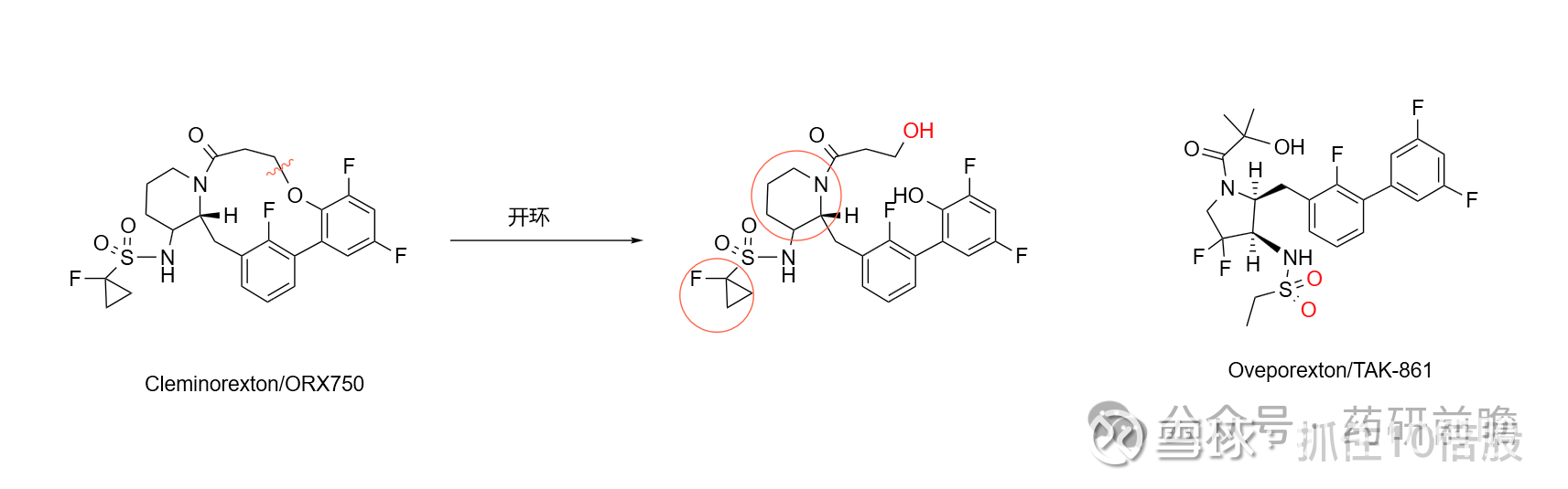
Centessa 的ORX750专利突破策略

用户头像
抓住10倍股
 · 江西  

Centessa Pharmaceuticals的ORX750(现名cleminorexton),采用环化,环丙基取代,五元环替换成六元环来突破武田的TAK-861专利,最终分子的效力和选择性得到提高。效力提升20倍:EC50从TAK-861的约2.5 nM降至0.11 nM选择性提升3倍:OX2R vs OX1R从约3000倍提升至9800倍。

$Centessa(CNTA)$