林奇说投资更接近于打牌,不做基本面研究就和打牌不看手里的牌一样。这里做一个最最基本的财报三张表的可视化快速扫描,快速的扫一下“牌”。注意三大表里都是过去的总结,没有前瞻性。但和汽车的后视镜一样,三张表可以帮助我们判断公司过去的运行轨迹和惯性。
下面的图表主要是我学习@来年再会可期 大佬以前的个股研究,受他的启发作的三表的自动可视化。$嘉友国际(SH603871)$ 是抄@LianDeveloper 大佬的作业。大佬的眼光就是长远。嘉友的独特非洲布局,很难找到可以简单类比的A股上市公司。偷懒,找到嘉友IPO书,提到港中旅华贸国际物流股份有限公司(603128.SH)
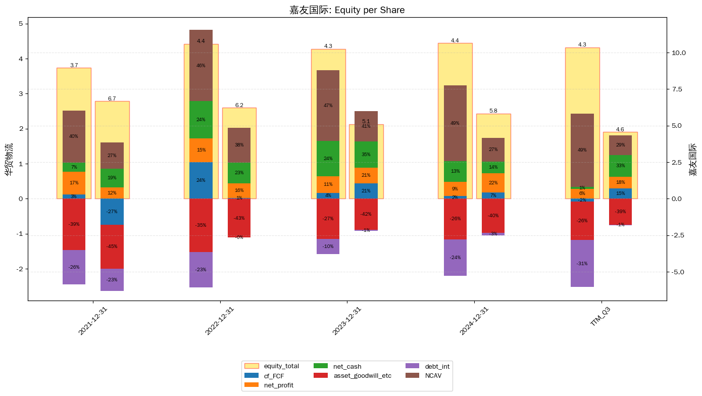
1)每股净资产为基本:
干净漂亮,“净现金”为正且在净资产占比高;每股净利润和自由现金流几乎差不多;Graham的net net为正且在净资产占比高
TTM_Q3: 过去四个季度的综合(3季报+过去3个季度)
net_profit: 稀释每股归母净利润; equity_total: 净资产(稀释归母调节); net_cash: 现金及等价减去有息负债;debt int:有息负债;fcf:自由现金流(运营净现减capex);asset goodwell:资产表中的‘水分’,商誉,无形,研发,递延等

2)debt servicing 类现金vs长短债
这个没得说了
* cash_equal: 类现金,货币资金+交易性金融资产+其他流动资产+应收款项融资+衍生金融资产; * loan_short: 短债; 短期借款+一年内到期的非流动负债+交易性金融负债+衍生金融负债; * loan_long: 长债; 长期借款 + 应付债券

3) 杠杆:

4)资产
很干净,对比同业应收账款占比很小;相对“重”资产(存货也高),应该和华友供应链物流服务的经营模式有关。商誉比较高,与近期的并购相关
* cash_equal: 类现金; * invent_n_prepaid: 存货+预付; * LTA_prod: 固定资产+在建工程+长期待摊等;* asset_rece: 应收;* LTA_invest: 长投; 持有至到期投资+长期股权投资+投资性房地产;* LTA_inten_goodwell: "水分"; 无形资产+开发支出+商誉+长期待摊费用+公益性生物资产;* STA_other: 其他一年内到期的非流动资产

5)毛利率:
比同业高出一倍
op income:营业收入;COGS:营业成本;margin:毛利(百分比为毛利率)

6)毛利至净利:
这个运营效率不是一个级别的。值得注意的是华友有减值损失。要去附录里面去细看
柱状图中的百分比为以下对"毛利"的比值: * op_margin: 毛利; * exp_duration: 运营费用; 销售费用+管理费用+财务费用+研发费用+营业税金及附加+堪探费用; * impair_asset_credit: 资产和信用减值; * pl_inv_fv_oth: 投资收益+公允价值变动净收益+汇兑收益+影响营业利润的其他科目+资产处置收益+其他收益; * pl_non_op: 营业外收入&支出; * exp_tax_income: 所得税; * net profit: 净利润; * Gross_margin: 毛利率

7)营运资本/周转资金
应收占比保持低位,但应付在降。TTM库存降低很大,估计受到去年焦煤量价影响
柱状图中的百分比为以下对"收入"的比值: * asset_rece: 应收; 应收票据及应收账款+其他应收款(合计)+长期应收款; * invent_acc: 存货; * payable_acc: 应付; 应付账款+应付票据+长期应付款(合计); * reve_advance: 预收; 合同负债 + 预收款项; * prepaid_acc: 预付款项; * op_income: 收入

7)自由现金流,capex,折旧
嘉友在非洲建的这些物流陆港居然靠运营现金流
柱状图中的百分比为以下对"经营净现金"的比值: * cf_net_op: 经营净现金; 经营活动产生的现金流量净额; * cf_CAPEX: 资本开支(流量表); 购建固定资产、无形资产和其他长期资产支付的现金; * cf_DdnA: 折旧; 固定资产折旧、油气资产折耗、生产性物资折旧;* cf_acquisition: 并购; 取得子公司及其他营业单位支付的现金净额; * frac_fcf: 自由现金流/经营净现金

8)现金流量总揽:
真是模范,挣钱,投资,再还债,还有不少盈余TTM
* cf_net_cf: 净运营+净投资+净筹资;* cf_net_op: 净运营;* cf_net_invest: 净投资; cf_net_finance: 净筹资

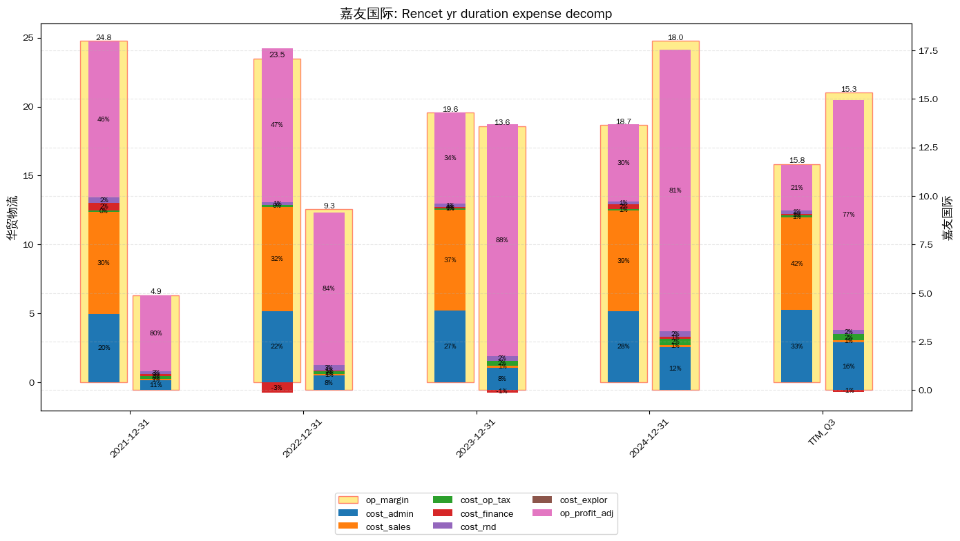
9)运营期间费用:
这效率,运营模式(对比同业的销售费用)
柱状图中的百分比为以下对"毛利"的比值: * op_margin: 毛利,营业收入 减 营业成本; cost_admin: 管理费用; * cost_sales: 销售费用; * cost_op_tax: 营业税金及附加; cost_finance: 财务费用; * cost_rnd: 研发费用; * cost_explor: 堪探费用;

10)固定资产vs在建工程
* LTA_prod: 非流动资产中和生产相关的,固定资产,在建工程,长期待摊,其他非流动等;不包括无形,商誉,开发递延等; * asset_ppne: 固定资产; * const_in_prog: 在建工程

最后总结,大佬就是大佬,这么干净漂亮的报表,托托的现金牛。未来非洲陆续完工,画面美的不敢想