
三只新股均选择10%公开发售+90%国际配售的极端分配比例,导致散户中签率极低(如西普尼一手中签率仅1%)。公开发售部分流通筹码不足,叠加机制B无回拨机制,市场流通股高度集中于机构投资者手中。这种“僧多粥少”的格局直接引发首日“抢筹效应”,$紫金黄金国际(02259)$ 首日涨幅达68.46%,$博泰车联(02889)$ 涨幅53.58%,$西普尼(02583)$ 涨幅258.11%,均显著高于同期机制A的新股 。

最近的新股机制b10的票全部是大涨的!港股新股的盛宴!这次紫金就是饕殄大餐!现在这机制b10的玩法真的是压死散户,极度有利于机构!你就明知道这票有消息庄家要做的。但是也偷鸡偷不了多少。大部分新股开盘直接一步到位干到90亿,还没有任何下手的机会去偷鸡买它,只能暗盘或者首日冒着极大风险去买。
散户总共就10%的货。打得越多中签的越少,自己卷自己呀,大资金差不多每个新股单项目千2左右的收益率,比北交所强!国配要跟人家玩那就是锁定6个月一起入通然后慢慢卖。
现在机制b的新股,直接只给散户10%的货,那种40亿以上,涨一倍能入通的票,一般公司都会找外面的人操盘包掉,翻倍入通去卖谈收益分成
即便老板自己不想出钱,现在的市场这么火,依然很多机构自己都愿意出钱愿意给老板做 ,然后还有些是操盘人不愿意出钱老板自己把就吧这个票给包掉。尤其是流通盘七八十亿的更是如此。不然机制b日后国配都容不下我们散户参与了。
年内第二大IPO,紫金黄金国际上市首日飙升7成,成交过百亿,35万人申购20万人中签,一手赚4900+

紫金黄金国际一半以上申购者都赚钱有份,35万人认购,有20万人中签!申购一手的中签率高达50%。紫金黄金国际有望于10月16日正式纳入恒生综合指数,并纳入港股通。入通之后国内资金就可以购买资金黄金了。

机制B回拨10%的情况下,90%股份给国际配售 ,机构专业投资者通过建簿过程主导定价。三只新股均以上限定价,反映出机构对其基本面的认可。例如,紫金黄金国际引入30名基石投资者(包括小米旗下基金),合计认购14.99亿港元,这种“背书效应”进一步推高市场预期。2025年三季度恒生指数反弹8%,南下资金日均净流入超30亿港元,部分增量资金转向低估值小盘股。三只新股市值均在200亿港元以下,契合当前市场偏好。例如,西普尼作为中国最大金表品牌,其稀缺性题材吸引本地资金关注,首日成交额2.45亿港元,占同港股总成交额1.5% 。

新规实施后,机制B新股首日涨幅纪录不断刷新(如佳鑫国际资源大涨177.84% ),形成“赚钱效应-资金涌入-进一步上涨”的正反馈。今日三只新股的表现延续了这一趋势,吸引散户投资者通过孖展融资参与(西普尼暴涨258.11%),推动股价脱离基本面。
西普尼:受益于黄金价格上涨(2025年伦敦金涨幅12%)及奢侈品消费复苏,首日市值突破60亿港元 ,实际上应该是庄家操盘操刀得好 首日就直接两倍多。
紫金黄金国际:作为矿产资源股,契合全球能源转型背景下的金属需求预期,国际配售获20.38倍超额认购。
博泰车联:智能汽车赛道高景气度支撑估值。这票当时我们也说了涨幅至少27%以上,不然入通门槛够不上。
回顾紫金黄金国际(02259.HK) 暗盘情况:
紫金黄金国际(02259.HK) 辉立暗盘以最低点94.50港元高开,一路震荡上冲到最高点112.50港元后回落,再震荡整理,尾盘以108.40港元报收,涨幅为51.42%,振幅25.14%,成交14.60亿港元。



紫金黄金国际(02259.HK) 买盘席位有0866、9697、9523、0950、0085、2061等都是机构席位,卖盘第一席位是9600.
看看紫金黄金国际(02259.HK) 配售情况!
紫金黄金国际(02259.HK) 招股最终定价71.59港元,一口价,249.84亿港元的募资,1878.52亿港元的总市值,发行比例13.30%。

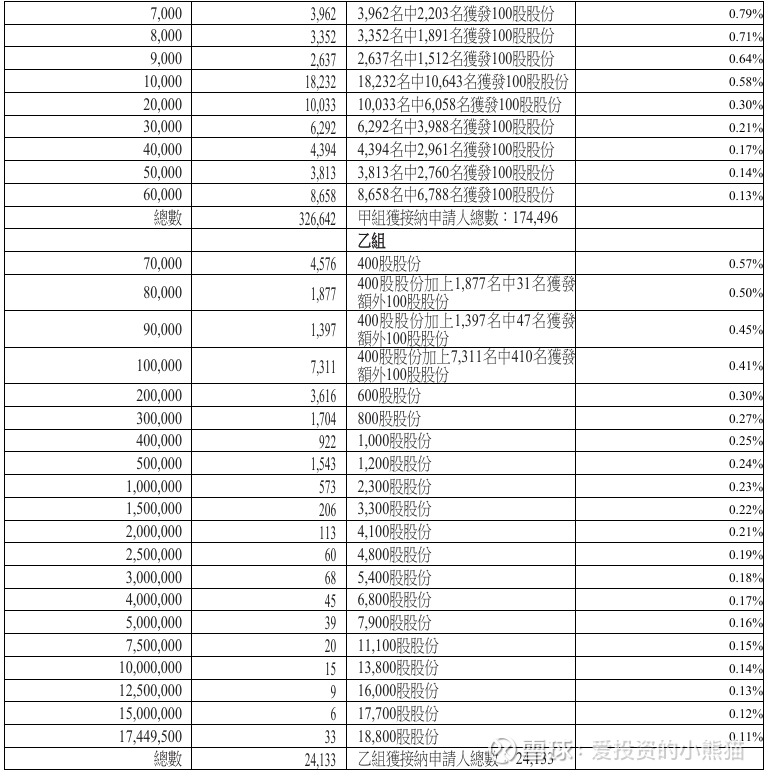
配售情况:350775人认购,这次公配240.74倍,十分火热,由于执行分配机制B无回拨比率,国配有20.38倍,一手中签率50.00%,认购700手必中4手,同时乙组24133人申购,其中顶头槌申购33张,获配率0.11%-0.57%。



紫金黄金国际(02259.HK) 乙组官方披露的中签名单里
有14673人中签400股,有488人中签500股,
有3616人中签600股,有1704人中签800股,
有922人中签1000股,有1543人中签1200股,
有573人中签2300股,有206人中签3300股,
有113人中签4100股,有60人中签4800股,
有68人中签5400股,有45人中签6800股,
有39人中签7900股,有20人中签11100股,
有15人中签13800股,有9人中签16000股,
有6人中签17700股,有33人顶头槌认购中签18800股,乙组有24133人中签,总共中签1744.95万股,货值约12.49亿港元,乙头货值约2.86万港元,顶头槌货值约7134.59万港元,暗盘收盘卖出可赚约69万港元。
然后看看国配的情况:

紫金黄金国际(02259.HK) 国际配售总共438人,认购额20.38倍。

紫金黄金国际(02259.HK) 国配货是比较分散,前25大承配人上市后所持股份数目占上市后已发行股份总数7.97%。紫金黄金国际(02259.HK) 这个票稳价人是大摩,有绿鞋37.48亿港元。


回顾西普尼(02583.HK)暗盘情况:
西普尼(02583.HK)辉立暗盘以最低点40.00港元高开,上冲到75.00港元后,回落整理再次上行,最高摸到85.90港元,尾盘稍有下落,以85.20港元报收,涨幅为187.84%,振幅155.07%,成交3710万港元。



西普尼(02583.HK)买盘席位有9676、9633、9703、2266等,卖盘第一席位是9655.
看看西普尼(02583.HK)配售情况!
西普尼(02583.HK)招股最终定价29.60港元,在招股价范围27.00港元-29.60港元的上限价,3.14亿港元的募资,17.41亿港元的总市值,H股市值17.41亿港元,发行比例18.02%。

配售情况:160901人认购,这次公配2505.90倍,十分火热,由于执行分配机制B无回拨比率,国配有3.90倍,一手中签率1.00%,认购3000手必中1手,同时乙组4610人申购,其中顶头槌申购1388张,获配率0.03%-0.04%。



西普尼(02583.HK)乙组官方披露的中签名单里
有2584人中签100股,有196人中签200股,有452人顶头槌认购中签100股,有936人顶头槌认购中签200股,乙组有4168人中签,总共中签53万股,货值约1568.80万港元,乙头抽签,顶头槌最多2手,货约值5920港元,暗盘收盘卖出最多可赚1.11万港元。
然后看看国配的情况:

西普尼(02583.HK)国际配售总共136人,认购额3.90倍。

西普尼(02583.HK)国配货是比较集中,前25大承配人上市后所持股份数目占上市后已发行股份总数16.00%。西普尼(02583.HK)这个票没有稳价人,也没有绿鞋。

回顾博泰车联(02889.HK)暗盘情况:
博泰车联(02889.HK)辉立暗盘以最低点119.90港元高开,5分钟冲到最高点138.00港元后,回落整理,再次回升到138.00港元,尾盘稍有回落,以136.00港元报收,涨幅为33.03%,振幅17.71%,成交3820万港元。



博泰车联(02889.HK)买盘席位有0967、9639、9617、9656等,卖盘第一席位是2091.
看看博泰车联(02889.HK)配售情况!
博泰车联(02889.HK)招股最终定价102.23港元,一口价,10.67亿港元的募资,153.34亿港元的总市值,H股市值72.58亿港元,发行比例6.96%。

配售情况:108368人认购,这次公配529.79倍,十分火热,由于执行分配机制B无回拨比率,国配有3.72倍,一手中签率0.26%,认购400手必中1手,同时乙组3258人申购,其中顶头槌申购96张,获配率0.15%-0.16%。




博泰车联(02889.HK)乙组官方披露的中签名单里
有1442人中签80股,有498人中签100股,
有194人中签120股,有391人中签140股,
有190人中签160股,有73人中签280股,
有154人中签300股,有2人中签420股,
有139人中签440股,有72人中签580股,
有7人中签600股,有61人顶头槌认购中签760股,
有35人顶头槌认购中签780股,乙组有3258人中签,总共中签52.18万股,货值约5335万港元,顶头槌都只有38-39手,货约值7.77-7.97万港元,暗盘收盘卖出最多可赚2.63万港元。
然后看看国配的情况:

博泰车联(02889.HK)国际配售总共50人,第一次见到国配50人就够了的情况!认购额3.72倍。

博泰车联(02889.HK)国配货是比较分散,前25大承配人上市后所持股份数目占上市后已发行股份总数6.26%。博泰车联(02889.HK)这个票稳价人是中金,绿鞋无效。

今日三只机制B新股的首日大涨是制度红利、市场情绪与题材炒作共振的结果,短期仍具备博弈价值。但长期来看,估值终将回归基本面,投资者需警惕流动性危机与业绩变脸风险。对于普通投资者,建议采取“打新不炒新”策略,暗盘或首日冲高时离场;
国配要跟人家玩 那就是锁定半年一年一起入通然后慢慢卖。现在机制b的新股,直接只给散户10%的货,那种40亿以上,涨一倍能入通的票,一般公司都会找外面的人操盘包掉,锁定六个月到一年年翻倍入通去卖在结构里面做收益分成,这种还只能和人家国配一起去投了,国配项目的重点是人家得愿意带你玩的问题!不然机制b10的新股日以后都容不下我们散户参与了。

散户总共就10%的货。打得越多中签的越少,自己卷自己呀,百万千万级别的大资金去打公配差不多每个新股单票千2左右的收益率,收益也比北交所强!
