本文不构成任何投资意见和建议,以官方/公司公告为准;本文仅作医疗健康相关药物介绍,非治疗方案推荐(若涉及),不代表平台立场。任何文章转载需得到授权。
3月20日,康宁杰瑞制药-B(09966)宣布,其自主研发的靶向TROP2及HER3的双抗ADC药物JSKN016,用于治疗三阴性乳腺癌(TNBC)的III期临床研究(JSKN016-301)已完成首例患者给药,标志着该创新药物进入关键临床开发阶段。
JSKN016-301研究为开放、随机、对照、多中心试验,预计在中国约60家中心开展,计划入组经至少二线系统性治疗失败的局部晚期或转移性TNBC患者,对比JSKN016与现有治疗方案。JSKN016基于糖基定点偶联平台设计,可同时靶向TROP2和HER3,显示出良好抗肿瘤活性和安全性,目前多项临床研究正在进行中。

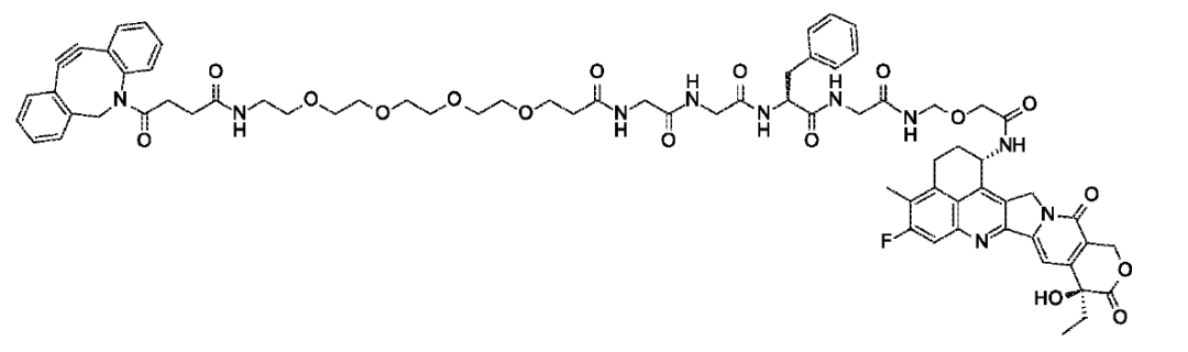
JSKN016是康宁杰瑞利用单域抗体和双抗平台自主研发的同时靶向TROP2和HER3的双抗ADC,通过糖基定点偶联实现DAR为4的均一稳定结构。该药物能够特异性结合肿瘤细胞表面两种受体,在阻断相应信号通路的同时,增强细胞内吞释放拓扑异构酶Ⅰ抑制剂,实现对肿瘤的精准杀伤。早期临床研究中,JSKN016在多线治疗失败的晚期TNBC等多种实体瘤中展现出良好的抗肿瘤活性和安全性。
JSKN016为首创靶向Trop2/Her3的双抗ADC,在分子设计上:
抗体:HER3采用高亲和力纳米抗体设计,低TROP2亲和力,降低在靶毒性,如口腔黏膜炎。根据专利,其对HER3和TROP2的亲和力分别为1.233E-9和2.854E-9

偶联技术:为其专利的糖偶联技术

载荷:Topo1i T01 Alphatecan,DAR4设计,PEG增加亲水性

JSKN016已开展针对NSCLC、GC、BC的多项临床II期研究。

参考资料:
公司官网
